
研究背景:
随着先进制造技术的发展,功能梯度材料(FGMs)在工程领域中的应用不断扩大。FGMs作为典型的多组分复合材料,其宏观性能可视为连续变化的非均匀材料,兼具耐高温、耐腐蚀与高强度、高韧性等优势,广泛用于航空航天与能源装备等领域。根据制备方式与应用需求,FGMs可呈现各向同性或各向异性特征。其中,各向异性FGMs由于热导率随方向变化,其瞬态热传导行为更加复杂,对结构的热安全设计提出了更高要求。因此,开展此类材料的高精度瞬态热传导建模研究,具有重要的工程价值与理论意义。
研究简介:
研究团队首先通过变分分析推导了各向异性FGMs热传导方程的能量泛函,并结合近场动力学算子方法,将其从局部微分形式重构为非局部积分形式,从而构建了各向异性FGMs瞬态热传导问题的近场动力学模型。同时,团队提出了可适用于多类复杂边界的统一处理方法。通过对各向同性、各向异性及各向异性FGMs含孔与含裂纹结构在多种边界条件下的瞬态热传导算例开展系统验证,结果表明该模型具有良好的适用性与可靠性。
首先,本研究对各向同性均质材料瞬态热传导问题进行了验证。图1(a)给出了含有罗宾边界条件的各向同性方板的几何模型,并展示了在t = 8s时模型预测结果与参考解的温度等值线对比。随后,图1(b)分别给出含裂纹结构的几何模型及其与参考解的温度场对比。结果高度一致,表明所提出的模型在处理复杂边界条件及含裂纹结构的瞬态热传导问题中具有良好的适用性与可靠性。

(a) 考虑罗宾边界条件的各向同性方板


(b) 含裂纹各向同性方板
图1 各向同性均质材料瞬态热传导问题的几何模型和温度分布
其次,本研究进一步验证了模型在各向异性均质材料瞬态热传导问题中的适用性。图2给出了正交各向异性含孔板的几何模型,并展示了不同时间下的温度分布云图。结果表明,所构建的模型能够准确刻画各向异性材料含孔结构的瞬态热传导行为。

图2 各向异性均质材料瞬态热传导问题的几何模型和温度分布
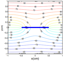
该模型进一步被应用于各向异性FGMs瞬态热传导分析。团队研究了在对称边界条件下的各向异性功能梯度方板的瞬态热传导响应,其模拟结果与参考解的温度对比曲线如图3所示。随后,团队将该模型扩展用于处理复杂边界条件下各向异性FGMs含交叉裂纹板,并在图4中给出了温度云图及不同裂纹长度下裂纹两侧的温度分布曲线。结果表明,所提出的模型能够准确捕捉裂纹对热流的阻滞作用及其引起的温度不连续性,进一步展示了其在复杂边界下各向异性FGMs不连续结构分析中的可靠性与优势。

图3 模型预测结果与参考解的温度分布对比


图4 各向异性FGMs瞬态热传导问题的几何模型和温度分布
本研究由河海大学计算力学与工程安全研究团队共同完成,将团队优势特色方向近场动力学与各向异性功能梯度材料传热问题相结合,为全面深入研究非均质材料的传热问题提供了新的思路。相关成果于2025年11月发表在期刊《Composite Structures》上。本团队学术带头人黄丹教授为论文通讯作者,团队硕士生钱一凡为论文第一作者,团队青年骨干教师李志远为第二作者。本研究得到了国家自然科学基金项目(No. 12402236, 12072104)、江苏省自然科学基金项目(No. BK20241507)、国家资助博士后研究人员计划项目(No. GZC20240376)以及江苏省“青蓝工程”项目的资助。
《Composite Structures》主要致力于发表复合材料结构在力学性能、设计方法、数值模拟等方面的原创性研究成果,是复合材料领域的重要国际期刊。在中科院最新期刊分区中,该刊被归为材料科学类2区,力学小类1区,最新影响因子为7.1。
撰稿:钱一凡
审核:李志远